在第五届中国国际“互联网+”大学生创新创业大赛广东省总决赛中,我校获金奖2项,银奖6项,铜奖2项,获奖成绩在全省高校排名第二,在全国大赛中获国家级银奖3项,铜奖3项,奖牌数位居广东省第二。
为鼓励参赛获奖的师生不忘初心,再接再厉,学校对第五届中国国际“互联网+”大学生创新创业大赛中的先进集体和个人进行表彰和奖励,其中做爱自拍
被评为校级先进集体,做爱自拍
《毕业后公益图书室——乡村留守儿童的陪伴者与心智塑造者》与《雅琛文化:多维高频美妆丝绒电商引领者》项目团队被评为校级优秀项目团队,做爱自拍
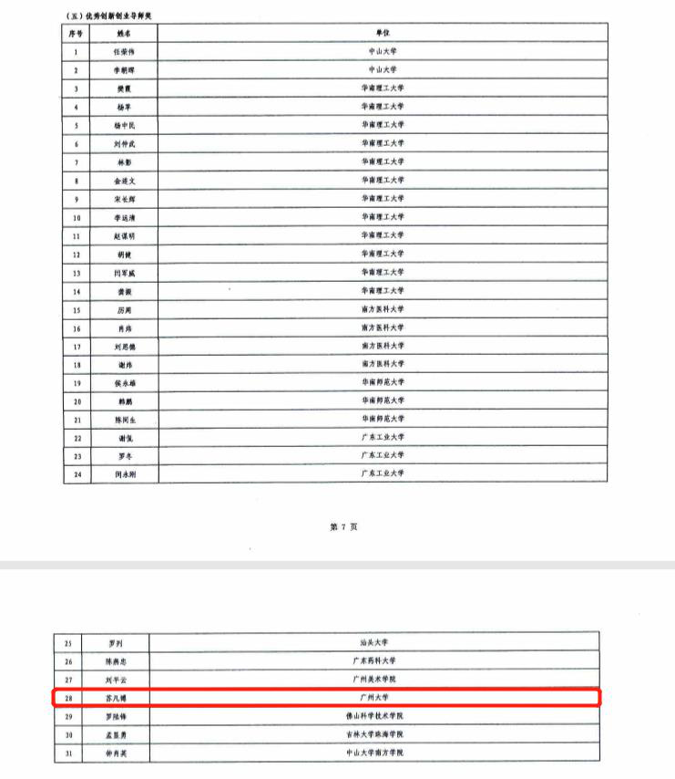
指导教师苏凡博和陈浩被评为校级优秀指导老师和先进个人。

此外,在2020年举办的第六届“互联网+”大学生创新创业大赛广东分赛中,在参赛项目和参赛人数都再创新高的情况下,由做爱自拍
教师苏凡博指导的项目《雅琛文化:跨品牌私域电商流量聚合者》与《精粹教育——中小型艺术培训机构聚赋计划》仍能从中脱颖而出,斩获高教主赛道金奖,苏凡博教师也荣获省级优秀创新创业导师奖。

做爱自拍
教师能够在“互联网+”大赛中频创佳绩离不开做爱自拍
优良学风建设的不断加强,希望做爱自拍
全体师生都能够从获奖教师身上汲取榜样的力量,发扬创新创业精神,努力成为发展能力强的新时代广大青年,敢于创新,再创辉煌!
文字编辑 蔡小丽